IQ and Height
I got a message from my first college roommate last month, asking about a Wikipedia article: Height and Intelligence. He wanted to know what it means to say that there is a 0.2 correlation between height and intelligence. That is an excellent question. I meant to get to this earlier, but I got a little distracted. I did however find time last month to read most of the cited sources.
First a bit of history. The correlation coefficient, r, was actually first developed to answer precisely this kind of question. Francis Galton was interested in whether famous successful men had famous successful children. Unsurprisingly, this turns out to be generally the case, but not always. Being of a quantitative bent, Galton (the half-cousin of Charles Darwin), wanted to know more about this. He developed the ideas of standard deviation, fitting normal distributions to empirical data, and regression analysis. Regression analysis was Galton's method of quantifying the fact that sometimes the children of famous successful men turned out to be poor and obscure. He even coined a term, regression toward the mean, because it turned out that your children are likely to be more average than you are. This is widely true across a number of physical characteristics, such as height, weight, athletic ability, and so on. This is the origin of the term regression analysis.
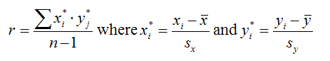
It was a student of Galton's, Karl Pearson, who developed the correlation coefficient to quantify the degree of linear relationship between two random variables. The key insight here was to standardize each quantity, such that they each have the same scale. You standardize using the standard deviation.
Correlation Coefficient

Thus equipped, you can quantify the degree of linear relationship. Pearson's r is still widely used, and is the foundation of the r2 that is also widely used. Galton and Pearson alike are now widely excoriated for endorsing eugenics, but to be honest pretty much everyone you ever heard of from the same era believed in eugenics at the time, (except for G. K. Chesterton) so it is quite unfair to single them out.
Now, height and IQ. I read through most of the sources in the Wikipedia article. They are pretty interesting. The first sources cited studied children, and I would have expected an effect to be found in children. IQ for children is a ratio of expected performance by age versus actual performance. All else being equal, a bigger child is an older, more developed child. Children with serious developmental problems caused by nutrition or whatnot are shorter, so that alone could be part of it. The first study says that they did not find this effect in their study, but other studies did find it.
An important point to keep in mind here is ceteris paribus. This is all else being equal. There are going to be loads of exceptions to everything like this, such as kids with malnutrition being shorter, the key is that we are looking at the averages of large numbers of individuals, and then clear relationships emerge. What this does not mean is that we can make an accurate conclusion about any individual. The kind of reasoning here applies to large groups quite well, but not very well at all to individuals, because the mathematics evens out individual differences.
Reading through these childhood IQ and height sources, an idea begins to be discussed that the results are perhaps an artifact of the time of the research. The Newcastle Thousand Families Study was started in 1947, and wartime rationing from the Second World War and its aftermath may have dominated the results . A later study in the British Medical Journal said that the correlation between height and IQ was decreasing over time. However, the study about Swedish conscripts found that shorter conscripts, men from whom everyone with an obvious physical or mental abnormality had been weeded out, had higher rates of disease and psychological instabiity, responded less well to stress, and so on.
Probably the most sophisticated analysis can be found in the article entitled: "Genetic contributions to the association between height and intelligence: evidence from Dutch twin data from childhood to middle age." There was some pretty heavy duty math and genetics in there, but the gist of it is that height and IQ are genetically correlated. However the causal relationship works, being tall and being smart tend to go together. This is also true of a number of other things; in life, to them that have, more will be given. Higher IQ also correlates with any number of things generally viewed as positive, such as overall heath, attractiveness, and so on. This was mentioned by Geoffery Miller in his new book Spent:
general intelligence is not a mental organ, but a latent variable that emerges when one analyzes the functional efficiencies of many different mental organs (such as memory, language ability, social perceptiveness, speed at learning practical skills, and musical aptitude). ...
In the 1970s, critics of intelligence research such as Leon Kamin and Stephen Jay Gould wrote many diatribes insisting that general intelligence had none of these correlations with other biological traits such as height, physical health, mental health, brain size, or nerve conduction speed. Mountains of research since then have shown that they were wrong, and today general intelligence dwells comfortably at the center of a whole web of empirical associations
One of the things a good graph can make clear is just how this relationship holds over the entire range. For example, here is one from the Swedish conscripts study.

Tuvemo, T., (1999). Intellectual and physical performance and morbidity in relation to height in a cohort of 18-year-old Swedish conscripts. Horm Res, 52, 189
The graph makes clear that intellectual ability generally increases with height, but as you get to the tallest men it starts to fall off again. This is the kind of thing that I would expect to see here, being too far at the extremes tends to mean strange things are going on. However, being unusually short is even worse, so I suppose if you had to choose you should be tall. However, none of us really choose our parents, so this is just the luck of the draw for any of us. There is really nothing to be proud of in being tall or smart, since such a large part of it is genetic. You had nothing to do with it. At least in the case of being tall and being smart, on average, one would expect them together, but there is a lot of variability here. An r of 0.2 is pretty bad, even in social science. Using the standard r2 explanation, you could expect only 4% of IQ to be explained by height. Let's see what that means graphically.
Here is a scatterplot of two random normal variables with a regression line drawn in. For this data, r is 0.1.

And here is another random normal with r = -0.21

The correlation is there, but it is pretty limited. Maybe if you binned the data and made a bar chart it would look more like the figure from the Swedish conscripts study, but that obscures the fundamental fact that most of the variability is found elsewhere. Perhaps that is the reason you don't see scatterplots in these papers, it would make the results seem silly.
Comments ()